ទស្សនាវដ្ដី Fashion W Korea រងការរិះគន់ជាថ្មីម្ដងទៀត ដោយលើកនេះដោយសារការក្លែងបន្លំរបាយការណ៍បរិច្ចាគសប្បុរសធម៌របស់ខ្លួន ទាក់ទងនឹងយុទ្ធនាការយល់ដឹងអំពីជំងឺមហារីកសុដន់ Love Your W។

បន្ទាប់ពីមានការរិះគន់ចំពោះពិធីជប់លៀងកាលពីថ្ងៃទី 15 ខែតុលា W Korea បានអះអាងថា ខ្លួនបានបរិច្ចាគប្រាក់សរុបចំនួន 1.1 ពាន់លានវ៉ុន (ប្រហែល 774,000 ដុល្លារអាមេរិក) ក្នុងរយៈពេល 20 ឆ្នាំចុងក្រោយនេះ ដល់អង្គការនានាដែលធ្វើការពាក់ព័ន្ធជំងឺមហារីកសុដន់។ ខណៈដែលមហាជនបានរិះគន់ថាតួលេខហាក់ទាបរួចទៅហើយ បើប្រៀបធៀបទៅនឹងទំហំ និងភាពប្រណិតរបស់ព្រឹត្តិការណ៍កាលពីពេលថ្មីៗនោះ ប៉ុន្តែចុងក្រោយក៏មានលេចធ្លាយរបាយការណ៍ថ្មីទៀតបង្ហាញថា សូម្បីតែតួលេខបរិច្ចាគនេះក៏មានការបន្លំ និងប្រឌិតមួយផ្នែកដែរ។
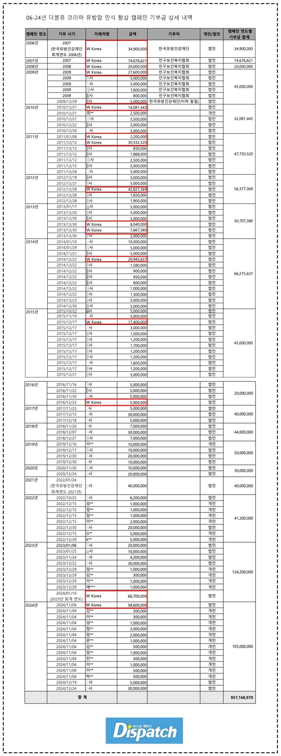
យោងតាមរបាយការណ៍របស់ Dispatch កាលពីថ្ងៃទី 19 ខែតុលា ការបរិច្ចាគផ្ទាល់ជាក់ស្តែងរបស់ទស្សនាវដ្ដី W Korea ក្នុងរយៈពេល 19 ឆ្នាំកន្លងមកនេះ សរុបមានចំនួន 437.97 លានវ៉ុន (ប្រហែល 308,000 ដុល្លារ) ប៉ុណ្ណោះ ដែលតិចជាងពាក់កណ្តាលនៃចំនួនដែលទស្សនាវដ្ដីកូរ៉េនេះបានប្រកាសមុននេះទៅទៀត។ សារព័ត៌មានដដែលបានលាតត្រដាងថាទស្សនាវដ្ដីនេះបានរាប់បញ្ចូលថវិកាដែលបរិច្ចាគដោយម្ចាស់ឧបត្ថម្ភ និងម៉ាកនានាដែលជាដៃគូរបស់ពួកគេក្នុងកំណត់ត្រាការបរិច្ចាគជាងមួយពាន់លានវ៉ុននោះ។
ក្រោយមានការចុះផ្សាយបែបនេះ W Korea ក៏បានព្យាយាមបញ្ជាក់ថា៖ “ចំនួនសរុបនោះរួមមានមូលនិធិដែលបរិច្ចាគដោយផ្ទាល់ដោយ W Korea ក៏ដូចជាការបរិច្ចាគដែលធ្វើឡើងដោយក្រុមហ៊ុនដៃគូ និងសប្បុរសជនផ្សេងទៀតតាមរយៈយុទ្ធនាការ Love Your W។ ដូច្នេះហើយរបាយការណ៍ការបរិច្ចាគសរុបចំនួន 1.1 ពាន់លានវ៉ុននោះគឺត្រឹមត្រូវ។”


យ៉ាងណាក៏ដោយ អ្នករិះគន់អះអាងថា ការរួមចំណែករបស់ក្រុមហ៊ុនឧបត្ថម្ភ និងដៃគូមិនអាចចាត់ទុកថាជាការបរិច្ចាគផ្ទាល់ខ្លួនរបស់ W Korea នោះទេ។ លើសពីនេះ សូម្បីតែនៅពេលបន្ថែមការបរិច្ចាគម៉ាកទាំងអស់រួមគ្នាក៏ដោយ ក៏ចំនួនសរុបដែលត្រូវបានគេរាយការនោះនៅតែទាប។ ដើម្បីជួសចំនួនទឹកប្រាក់ចំនួន 150 លានវ៉ុនដែលបាត់ (ប្រហែល 110,000 ដុល្លារ) អង្គការ W Korea បានអះអាងថាខ្លួននឹងបរិច្ចាគប្រាក់ចំនួននោះនៅក្នុងខែធ្នូ ដោយទទូចថា “ការបរិច្ចាគនាពេលអនាគតដែលបានគ្រោងទុក” នឹងបង្ហាញពីភាពត្រឹមត្រូវនៃតួលេខសរុប។
អ្នកវិភាគនានាបានពណ៌នាការពន្យល់នេះថាជា “លេសលាក់បាំង” ដោយចោទប្រកាន់ទស្សនាវដ្តីនេះថាបានបំភាន់សាធារណជន និងអាចបំពានច្បាប់អត្ថប្រយោជន៍ពន្ធទាក់ទងនឹងការរួមចំណែកសប្បុរសធម៌។ ដោយសារសេវាពន្ធជាតិរបស់កូរ៉េខាងត្បូងផ្តល់ការកាត់ពន្ធសម្រាប់ការបរិច្ចាគផ្លូវការ ឥឡូវនេះក៏មានសំណួរជាច្រើនត្រូវបានលើកឡើងថាតើអ្នកណាគឺជាបានទទួលឥណទានពន្ធទាំងនោះ — W Korea ឬដៃគូរបស់ខ្លួន។ ប្រសិនបើទស្សនាវដ្ដីនេះទាមទារអត្ថប្រយោជន៍សម្រាប់មូលនិធិដែលខ្លួនមិនបានបរិច្ចាគដោយផ្ទាល់ អ្នកជំនាញនិយាយថា ពួកគេអាចប្រឈមនឹងការពិន័យ ឬផលវិបាកផ្នែកច្បាប់។
គួររំឭកថា ភាពចម្រូងចម្រាសនេះកើតឡើងបន្ទាប់ពីមានការរិះគន់លើទស្សនាវដ្ដីសម្រាប់ពិធីជប់លៀង Love Your W ដ៏ប្រណិតនៅឯសណ្ឋាគារ Four Seasons ទីក្រុងសេអ៊ូល កាលពីថ្ងៃទី 15 ខែតុលា ដែលអ្នករិះគន់បានចោទប្រកាន់ព្រឹត្តិការណ៍នេះថាផ្តល់អាទិភាពដល់ភាពហ៊ឺហាប្រណីតជាជាងគោលដៅពិតប្រាកដរបស់ខ្លួន គឺការយល់ដឹងអំពីជំងឺមហារីកសុដន់។
បន្ថែមលើការរិះគន់ជាសាធារណៈ អតីតសមាជិកក្រុម AOA Kwon Mina ដែលថ្មីៗនេះបានបង្ហើបថាប្អូនស្រីរបស់នាងកំពុងប្រយុទ្ធនឹងជំងឺមហារីកសុដន់បានថ្កោលទោសយុទ្ធនាការនេះថាជា “ទស្សនីយភាពសប្បាយដើម្បីប្រយោជន៍ផ្ទាល់ខ្លួន ដែលមិនយកចិត្តទុកដាក់ការឈឺចាប់របស់អ្នកជំងឺ”។
អារម្មណ៍សាធារណៈនៅតែមានភាពឆេះឆួល ដោយអ្នកប្រើអ៊ិនធឺណិតជាច្រើនបានអំពាវនាវឱ្យមានសវនកម្មពន្ធ និងការត្រួតពិនិត្យផ្លូវច្បាប់លើរឿងនេះ។ អ្នកជំនាញផ្នែកច្បាប់កត់សម្គាល់ថា អាជ្ញាធរអាចស៊ើបអង្កេតថាតើសកម្មភាពរបស់ W Korea បានបំពានច្បាប់បរិច្ចាគរបស់កូរ៉េខាងត្បូង ការក្លែងបន្លំ ឬការកេងបន្លំណាមួយឬទេ ៕

























Account
Security
Favourite Content